欢迎访问 伟德betvlctor微博!
官方微信|设为首页|加入收藏
cpem标语
   
顶部动图
智创奖
  • 金智信息
  • 国电南自
  • 深圳普宙
  • 联想
  • 国网信通
  • 中国交建
当前位置:首页 > CPEM推荐

国网公司2025年上半年集中器(采集器)、融合终端供应商评价结果公示

2025-09-04分类:CPEM推荐 / CPEM推荐来源:国家电网
【伟德betvlctor微博】

相关供应商:

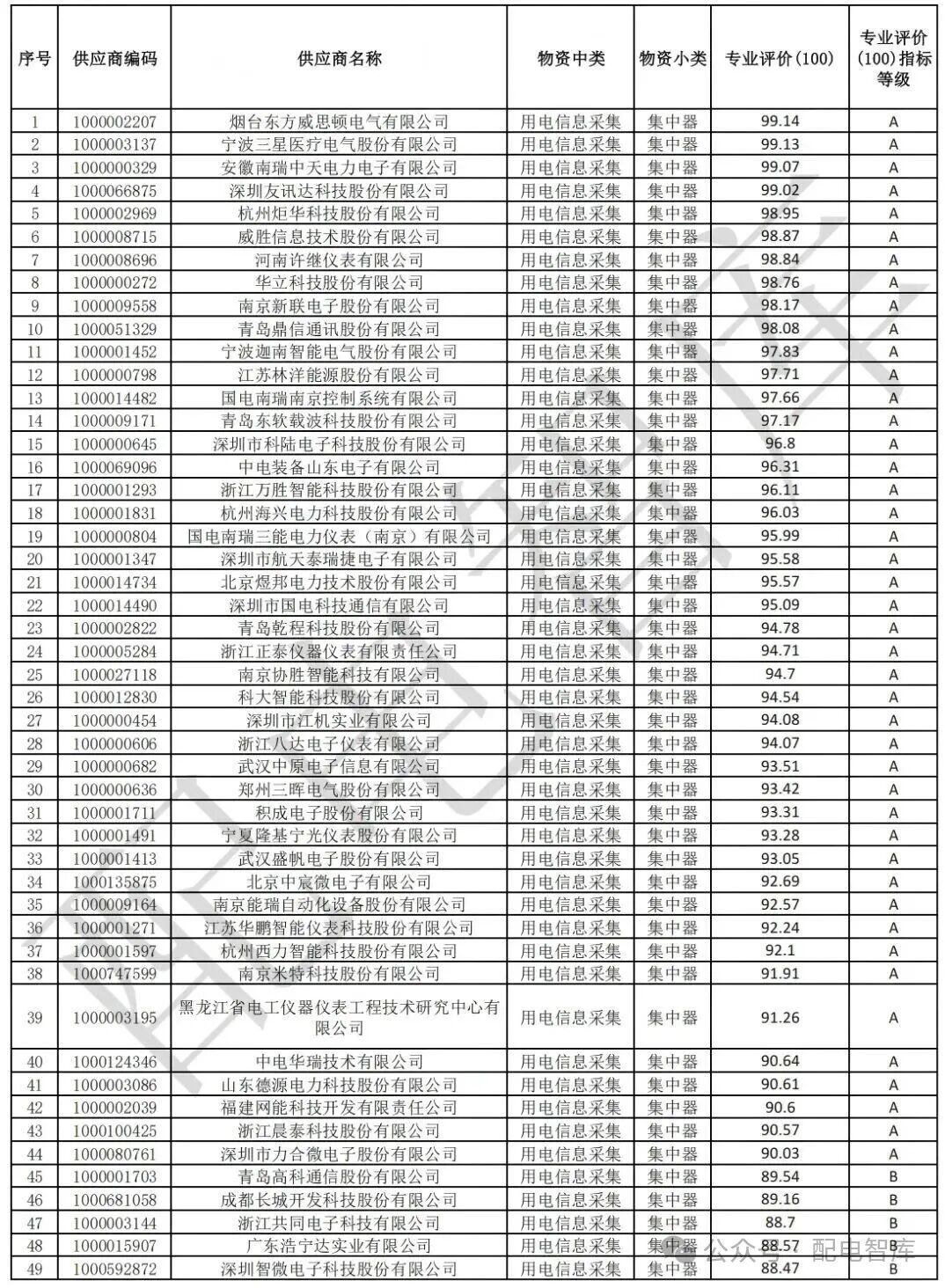
近期,国家电网有限公司开展了集中器(采集器)、融合终端供应商评价工作,评价范围及结果见附件。

公示期为自即日起3天(即2025年9月2日至2025年9月4日)。如对本次评价结果有疑问,请在自公示期起30日内进行咨询。公示期结束后,本次评价结果进入应用阶段,受理咨询,不再进行更改。


咨询电话:4008180899-5-4-1


2025年9月2日

附件详情:


分享到:
相关文章
合作伙伴
  • 1
  • 2
  • 3
  • 4
  • 5
  • 6
  • 7
  • 8
  • 10
  • 11
  • 12
  • 13

logo.png

伟德betvlctor微博  © 2016 版权所有    ICP备案号:沪ICP备16049902号-7

Baidu
map